Gaussian 使い方
調べてみると、GMMとはGaussian Mixture Model.
Gaussian 使い方. Molden は、ab initio パッケージである GAMESS や Gaussian, また 半経験的手法パッケージである Mopac/Ampac から分子密度を表示させるパッケージです。 分子軌道や電子密度、等高線表示、3次元グリッド表示、反応経路、分子振動などの表示が. 今回は、Gaussian 16 を自作 PC で動かしてみた時の様子について述べさせていただきたいと思います。 g16 と g09 についても振動計算についてのみ大まかに比較してみました。 参考:Threadripper 自作 PC 組み立て編AMD. Gaussian is a federally registered.
電子構造プログラム Gaussian は、化学や生物化学、物理学をはじめとしてサイエンスの幅広い分野の研究者に向けて、電子状態計算や計算化学モデルについて最先端の手法や技術を提供します。利用可能なプラットフォームの種類は多岐にわたり、いずれのプラットフォームにおいても計算化学. 必要に応じて fchkfile の入力が. Gaussianの意味や使い方 ガウス性 - 約1161万語ある英和辞典・和英辞典。発音・イディオムも分かる英語辞書。.
–Gaussianと並ぶ論文で使われるスタンダードの量子化学 ソフトウェアで、Gaussianと異なり商用もフリー –複数の流派があるが、メインのGAMESS-USは機能が豊富 –孤立系の計算が主で、ガウス基底を用いる –Linux版は64bit対応で巨大分子の取り扱いが可能になる. Gaussian で計算するときは、HyperThreading は使わない方が良いです。 記事中に間違い等ある場合は、コメント欄、twitter またはメールにてお知らせいただけると幸いです。 参考文献. 336 名古屋大学情報連携基盤センターニュース Vol.5, No.4-06.
Cubegen memory kind fchkfile cubefile npts format. Pythonの場合、移動平均を行う場合はGaussianBlurメソッドを使う。 GaussianBlurメソッドの使い方は以下のとおり。 python title="GaussianBlurメソッドの使い方" # 平均化する画素の周囲の大きさを指定する。. The Gaussian (TM) system (copyright 19, Gaussian, Inc.), the Gaussian 86(TM) system (copyright 1986, Carnegie Mellon University), and the Gaussian (TM) system (copyright 19, Carnegie Mellon University).
区切り文字で複数のオ プションをしていし、左右カッコで囲う ・ keyword = option ・ keyword = option ・ keyword = (option1, option2,…) ・ keyword(option1, option2,…) - キーワードやオプションの多くに省略形がある. 170 名古屋大学情報連携基盤センターニュース Vol.5, No.2-06. 実験1 分子軌道法入門 ~Gaussian 09 を用いて~ 0.
Gaussianを使う前に必要なこと(3) • プリポストプロセッサは色々あるが、基本的にはど れでも同じであるという認識 – 今回はWinmostarを使います – GaussViewはGaussianに最適化されています • 入力ファイルを正確に読み込める、GUIであらゆるGaussianキー. 大阪大学サイバーメディアセンターでは8月29日に講習会「Gaussian入門」を開催致します。 ※東北大学からの映像配信になります。 非経験的分子軌道計算プログラムとして広く使用されているソフトウェア「Gaussian」の 入門講座として、基本的な使い方から紹介します。. ポイントファイルの場所や名前の指定、2 行目には計算方法や基底関数、求めた いプロパティに関する記述、6 行目の0 1 の数字は電荷やスピン多重度、そして各原子のxyz 座 標の情報(デフォルトではÅ単位)で記述さ.
マニュアルはGaussian 03に基づいていますが、Gaussian 09、16においても十分にお使いいただけます。Gaussian 09で追加された機能、Gaussian 16で追加された機能 については、それぞれのリンクをご覧ください。. 先日の記事で自作 PC で Gauss View 6 を動かしてみました。. 基本的な使い方 IDLE Jupyter Notebook Markdown コマンドラインで実行 ライブラリのインストール pipの使い方 numpy , matplotlib等 graphviz pytorch Pythonの関数:一覧 共通関数 ・append ・class ・copy ・csv.writer ・def , return ・defaultdict ・enumerate.
GaussViewは、Gaussianのグラフィカル・ユーザ・インタフェースです。分子モデルの構築やGaussianの計 算パラメータの設定などのプリ処理機能と、 計算結果の可視化などのポスト処理機能を有しています。 計算結果の可視化では以下の表示が行えます。. 付録 A Gaussian16 の使い方. A Gaussian filter 111 applies smoothing processing on a digitally inputted image data using the Gaussian filter of a predetermined matrix size.
GaussView 6のGaussian Calculation Setupダイアログには多くの新機能が含まれています。いくつかを下記でご紹介します。: A: Gaussian Calculation Setup ダイアログの Job Preview に、生成された入力ファイルが表示されます。. 注 意 各自が個別に作業を行う。よって,実験者は1名で,共同実験者はいない。 通常の実験と異なり通常の予備レポートは必要ない。. Gaussianの使い方 %chk=default #N HF/6-311G** comments 0 2 H.
GaussianのInputファイルの作り方を解説します。 まずは、以下に例を示します。 キーワードセクション、タイトルセクション、座標の 3 つの要素で構成されます。. 一般化線形モデル(glm)は統計解析のフレームワークとしてとにかく便利。 rでもビルトインの関数から拡張までさまざまなライブラリから提供されている機能だが、 さまざまなライブラリがありすぎてどれを使えばいいのかわかりにくいのと、 さらに一般化線形モデル(glm)自体にも.

Gpy Pythonのガウス過程用ライブラリ の使い方 Statmodeling Memorandum
Http Www Comp Tmu Ac Jp Minoria 3nen Jikken How To Use Gaussian Gaussview Pdf
Http Www Comp Tmu Ac Jp Minoria 3nen Jikken How To Use Gaussian Gaussview Pdf
Gaussian 使い方 のギャラリー

Gaussrun Hpcシステムズ 計算化学ソリューション

Chemcraft Facio Gabeditを使ってみよう Pc Chem Basics Com

Unity ガウス処理 Kazupon研究室

Gaussian で分子を作成する方法 Gaussianview を利用して分子を構築
Http Www Comp Tmu Ac Jp Minoria 3nen Jikken How To Use Gaussian Gaussview Pdf
Http Www Comp Tmu Ac Jp Minoria 3nen Jikken How To Use Gaussian Gaussview Pdf
Http Www Comp Tmu Ac Jp Minoria 3nen Jikken How To Use Gaussian Gaussview Pdf
Http Www Comp Tmu Ac Jp Minoria 3nen Jikken How To Use Gaussian Gaussview Pdf
Http Www Comp Tmu Ac Jp Minoria 3nen Jikken How To Use Gaussian Gaussview Pdf

Gaussrun Hpcシステムズ 計算化学ソリューション

Gaussviewとgaussianの簡単な使い方 Pdf Free Download

コンフレックス株式会社 Gaussview 4 日本語マニュアル 高度な分子構築機能

Gaussian計算エラー対処 虎の巻 第10回配信 基底関数指定に関するエラー Hpcシステムズ 計算化学ソリューション

Gaussviewとgaussianの簡単な使い方 Pdf Free Download

Gausssumで計算をモニターしよう Pc Chem Basics Com

ガウシアンナイーブベイズ Gaussian Naive Bayes で分類問題をpythonを使って解く 制御工学の基礎あれこれ

Gaussviewとgaussianの簡単な使い方 Pdf Free Download

ガウス ウィンドウ Matlab Gausswin Mathworks 日本

Gaussviewとgaussianの簡単な使い方 Pdf Free Download

Gaussviewとgaussianの簡単な使い方 Pdf Free Download

マルチ ステップ ジョブ の使い方 計算化学ポータルサイト 計算化学 Com
Http Www Comp Tmu Ac Jp Minoria 3nen Jikken How To Use Gaussian Gaussview Pdf

クラウドサービス Chempark Hpcシステムズ 計算化学ソリューション

スライド 1 Pdf 無料ダウンロード

Gaussian計算エラー対処 虎の巻 第10回配信 基底関数指定に関するエラー Hpcシステムズ 計算化学ソリューション

コンフレックス株式会社 Gaussview 6

開いて5秒で計算化学 Webmo Pc Chem Basics Com

Professor A Asano S Web
Http Www Comp Tmu Ac Jp Minoria 3nen Jikken How To Use Gaussian Gaussview Pdf

Avogadroを使ってみよう Pc Chem Basics Com
Http Www Comp Tmu Ac Jp Minoria 3nen Jikken How To Use Gaussian Gaussview Pdf

Cryptomatteの使い方 User Guide Maya Guide

Gaussrun Hpcシステムズ 計算化学ソリューション

第5章 Pymol の様々な機能 Pymol Book

Tsl H2freq

コンフレックス株式会社 Gaussview 4 日本語マニュアル 高度な分子構築機能
Http Www Comp Tmu Ac Jp Minoria 3nen Jikken How To Use Gaussian Gaussview Pdf
Http Www Comp Tmu Ac Jp Minoria 3nen Jikken How To Use Gaussian Gaussview Pdf

コンフレックス株式会社 Gaussview 4 日本語マニュアル 高度な分子構築機能

画像処理 Dogフィルタの原理 特徴 計算式 西住工房

コンフレックス株式会社 Gaussview 4 日本語マニュアル 高度な分子構築機能

Ediusの使い方 ブラー 高品位ブラー ガウシアンブラー 未経験からでも映像制作は出来る

マルチ ステップ ジョブ の使い方 計算化学ポータルサイト 計算化学 Com
Http Www Comp Tmu Ac Jp Minoria 3nen Jikken How To Use Gaussian Gaussview Pdf

コンフレックス株式会社 Gaussview 6

Origin8 1の新機能 ガジェット メニューの使い方 動画で学ぶ操作方法 データ分析 グラフ作成 Origin ライトストーン

Gaussviewとgaussianの簡単な使い方 Pdf Free Download

Macで計算化学環境を整えよう Pc Chem Basics Com
Http Www Comp Tmu Ac Jp Minoria 3nen Jikken How To Use Gaussian Gaussview Pdf
Http Www Comp Tmu Ac Jp Minoria 3nen Jikken How To Use Gaussian Gaussview Pdf

コンフレックス株式会社 Gaussview 4 日本語マニュアル 高度な分子構築機能

Vimでgaussianのアウトプットファイルをチェックする方法 K Mitsudo Website
Http Www Comp Tmu Ac Jp Minoria 3nen Jikken How To Use Gaussian Gaussview Pdf

Gaussian計算エラー対処 虎の巻 第10回配信 基底関数指定に関するエラー Hpcシステムズ 計算化学ソリューション

Chemcraft Facio Gabeditを使ってみよう Pc Chem Basics Com

Gaussviewとgaussianの簡単な使い方 Pdf Free Download

Python Scipy ガウシアンフィルタで平滑化 西住工房

Gaussviewとgaussianの簡単な使い方 Pdf Free Download

Gaussviewとgaussianの簡単な使い方 Pdf Free Download

コンフレックス株式会社 Gaussview 4 日本語マニュアル 高度な分子構築機能
Http Informatics Perkinelmer Co Jp Resource Manual Chem3dv15userguidejapanese Pdf

Reaction Plus Hpcシステムズ 計算化学ソリューション

ガウス モデル Matlab Simulink Mathworks 日本

スクリーンショット 05 06 21 44 19 カズノコブログ

コンフレックス株式会社 Gaussview 6

Wordpress画像編集に使えるgimpフィルター 選択的ガウスぼかし Selective Gaussian Blur Gimp使い方 Gimp For Mac Yogaのアーサナと瞑想で綺麗にネット生活大好きfairy Meditation Yoga Universeブログ
Http Www Comp Tmu Ac Jp Minoria 3nen Jikken How To Use Gaussian Gaussview Pdf

Avogadroを使ってみよう Pc Chem Basics Com
Http Www Comp Tmu Ac Jp Minoria 3nen Jikken How To Use Gaussian Gaussview Pdf

Gaussviewとgaussianの簡単な使い方 Pdf Free Download
Http Www Comp Tmu Ac Jp Minoria 3nen Jikken How To Use Gaussian Gaussview Pdf
Http Www Comp Tmu Ac Jp Minoria 3nen Jikken How To Use Gaussian Gaussview Pdf

Gaussianプログラムで学ぶ情報化学 計算化学実験 憲次 堀 豪紀 山本 本 通販 Amazon

分子モデリングソフト Avogadro を試してみる 触りだけ

Gaussiannbの使い方 Sklearn ガウシアンナイーブベイズフィルタ 制御工学の基礎あれこれ

Gaussianプログラムによる量子化学計算マニュアル 計算入力法から実験値との比較まで 堀 憲次 新化学発展協会 堀 憲次 本 通販 Amazon

Gaussviewとgaussianの簡単な使い方 Pdf Free Download
Http Www Comp Tmu Ac Jp Minoria 3nen Jikken How To Use Gaussian Gaussview Pdf

Gaussian計算エラー対処 虎の巻 第10回配信 基底関数指定に関するエラー Hpcシステムズ 計算化学ソリューション

コンフレックス株式会社 Gaussview 6

Gaussian16で始める量子化学超入門 庄司光男 化学 Kindleストア Amazon

コンフレックス株式会社 Gaussview 4 日本語マニュアル Help

Gaussviewとgaussianの簡単な使い方 Pdf Free Download

Tsl H2freq

Project Asura Directx ガウスフィルタ

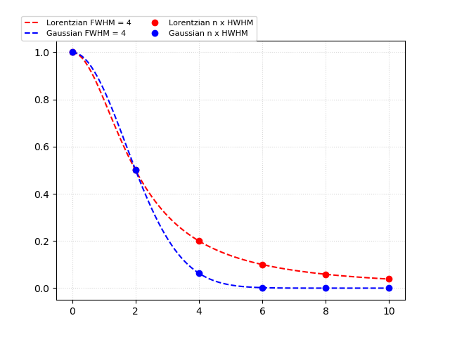
半値幅の整数倍で見るガウシアンとローレンチアンの違い Qiita
Http Www Comp Tmu Ac Jp Minoria 3nen Jikken How To Use Gaussian Gaussview Pdf
Molden
Http Www Comp Tmu Ac Jp Minoria 3nen Jikken How To Use Gaussian Gaussview Pdf

第2章 Internal Gui の使い方 Pymol Book
Http Www Comp Tmu Ac Jp Minoria 3nen Jikken How To Use Gaussian Gaussview Pdf

Gaussviewとgaussianの簡単な使い方 Pdf Free Download

Pythonでピークフィッテイング Cheml Note

Gaussian計算エラー対処 虎の巻 第10回配信 基底関数指定に関するエラー Hpcシステムズ 計算化学ソリューション
Http Www Comp Tmu Ac Jp Minoria 3nen Jikken How To Use Gaussian Gaussview Pdf

Gaussiannbの使い方 Sklearn ガウシアンナイーブベイズフィルタ 制御工学の基礎あれこれ

Gaussviewとgaussianの簡単な使い方 Pdf Free Download